球盟会在线登录官网
简介
诚信通

全国服务热线:4008-168-880

技术咨询:13714053430 (微信同号)

联系我们

联系电话:4008-168-880

深圳总部销售客服:13714053430

深圳总部传真:0755-89501950

深圳总部售后:13714053430

网 址:www.dreameg.com

E-mail:tflaser@tflaser.com

在线QQ:4008168880

MSN:tf.laser@hotmail.com

skype:tflaser1


理论篇激光物理基础:模式密度

信息来源:本站 日期:2018-12-24 

0

       在微波波长,谐振腔是由封闭的良导体组成的腔体。由于受到电磁场边界条件的限制, 只能存在一系列独立的具有特定波矢k的电磁波。这种以不同波矢及不同偏振方向区分的电磁波状态,称为谐振腔的模式。模式的概念很容易从微波波段推广到光波波段, 从谐振腔推广到自由空间,模具修补激光焊机


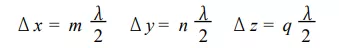
      考虑一个封闭的立方体积谐振腔, 其沿三个坐标轴方向的腔长分别为 Δx、Δy 及 Δz, 则 谐振腔的体积 V =ΔxΔyΔz,根据谐振腔的驻波条件有,模具修补激光焊机

模具修补激光焊机

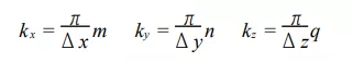
      式中, m、n、q 为正整数; 而波矢 k 的三个分量为

      每一组正整数 m、n、q 对应腔内一种模式的两种偏振状态。


      在以 kx、ky、kz 为坐标的直角坐标系中, 不同的 m、n、q 对应着不同的 kx、ky、kz , 因此也 对应着不同的模式。相邻模式在 k 空间中的间隔为,模具修补激光焊机

模具修补激光焊机

      所以每个模式在 k 空间中占据的体积为

模具修补激光焊机

      在 k 空间中, 波矢绝对值处在区间的体积为, 该区间内的模式数目为

      考虑到同一 k 有两种不同的偏振方向, 以及, 可以得到, 单位体积内处在频率 ν 附近 dν频率宽度内的模式数目。即模式密度为,模具修补激光焊机

模具修补激光焊机

(1 .1 .34)

      上式表明,模式密度与频率平方成正比。因此, 光波波段的模式密度较微波波段高得多,模具修补激光焊机。

版权所有 球盟会在线登录官网 粤ICP备12059204号   

公网安备

粤公网安备 44030902000822号

网站地图   |    在线留言